For this project, I challenged myself to create four different levels across four different games, each within a two week timeframe. My primary goal was to exercise my level design skills while ensuring that every level I created felt authentic to its respective game, as though it could have shipped alongside the original content.
To achieve this, I began each project with a thorough analysis of the game’s mechanics, systems, and progression. By starting with this preparation, I was able to design levels that felt authentic to the game, while also allowing me to familiarize myself with certain level elements that I could confidently use within my project (Like the ice blocks in BattleBlock Theater or the Intellect Devourers in Neverwinter Nights).
I followed a complete level design process for each prototype: starting with a level molecule and napkin sketch, then developing a first playable iteration, conducting playtests, and refining based on feedback into a final version. As I went developing a level for each game, I expanded on what I would include on my analysis documentation for the next game as I learned what other properties of a game it could be useful to take a note of.
This process gave me a structured way to explore designing for different genres, practice adapting to design constraints, and grow my knowledge as a level designer. Read on below to view each of my levels!
BattleBlock Theater: Winter War
For my first level design project, I created a level for the game BattleBlock Theater, a 2D Action-Platformer game. I started by conducting a thorough analysis of the game, which can be seen in the preliminary analysis and design document below.
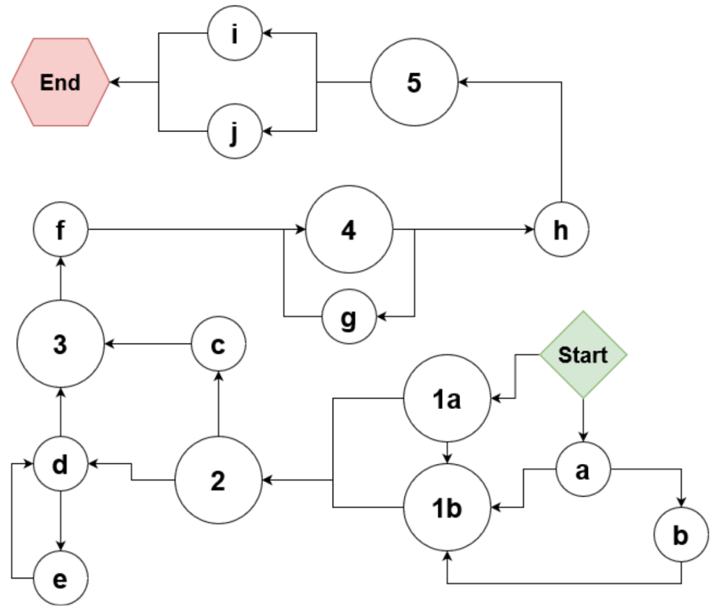
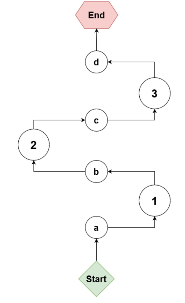
Level Molecule Graph

Napkin Sketch

Final Level
Map Overview

Map Marked With Beats

Video Walkthrough
After some testing and refinement, I created the final version of my level, which can be viewed in the video above. A full breakdown of the level can be found the document below:
Portal 2: Causeway
For my second level design project, I created a level for the game Portal 2, a 3D Puzzle game. I started by conducting a thorough analysis of the game, which can be seen in the preliminary analysis and design document below.
Level Molecule Graph

Napkin Sketch

Final Level
Map Overview

Map Marked With Beats

Video Walkthrough
After some testing and refinement, I created the final version of my level, which can be viewed in the video above. A full breakdown of the level can be found the document below:
Block N’ Load: Ziggurat
For my third level design project, I created a level for the game Block N’ Load, a 3D Multiplayer FPS game. I started by conducting a thorough analysis of the game, which can be seen in the preliminary analysis and design document below.
Level Molecule Graph

Napkin Sketch

Final Level
Map Overview
Map Marked With Beats
Video Walkthrough
After some testing and refinement, I created the final version of my level, which can be viewed in the video above. A full breakdown of the level can be found the document below:
Neverwinter Nights:
Intellectually Bankrupt
For my final level design project, I created a level for the game Intellectually Bankrupt, a 3D RPG game based on Dungeons and Dragons 3rd Edition. This level was unique because it had me constructing multiple areas, along with branching dialog, a whole storyline and a quest. I started by conducting a thorough analysis of the game, which can be seen in the preliminary analysis and design document below.
Level Molecule Graphs




Napkin Sketches




Final Level
Map Overview
Video Walkthrough
After some testing and refinement, I created the final version of my level, which can be viewed in the video above. A full breakdown of the level can be found the document below: